Σήμερα, Δευτέρα 15 Δεκεμβρίου 2025, κατατέθηκε στη Βουλή το νομοσχέδιο του Υπουργείου Εθνικής Άμυνας, με τίτλο «Χάρτης Μετάβασης των Ενόπλων Δυνάμεων στη Νέα Εποχή».
Το σχέδιο αυτό στοχεύει στην αναβάθμιση και εξέλιξη των στρατιωτικών στελεχών, περιλαμβάνοντας διατάξεις που αφορούν τη σταδιοδρομία Αξιωματικών, μόνιμων Υπαξιωματικών και Επαγγελματιών Οπλιτών. Επίσης, προτείνει μισθολογικές ρυθμίσεις, αναδιοργάνωση της ακαδημαϊκής εκπαίδευσης, καθώς και θέματα που σχετίζονται με τη στρατολογία και την εθελοντική στράτευση γυναικών.
Το νομοσχέδιο, το οποίο εντάσσεται στο πλαίσιο της «Ατζέντας 2030», παρουσιάστηκε από τον Υπουργό Εθνικής Άμυνας, Νίκο Δένδια, και εγκρίθηκε από το Υπουργικό Συμβούλιο υπό την προεδρία του Πρωθυπουργού, Κυριάκου Μητσοτάκη, στις 30 Σεπτεμβρίου 2025.
Σκοπός και σημαντικές διατάξεις
Ο βασικός στόχος του νομοσχεδίου περιλαμβάνει την καθιέρωση οργανικών θέσεων για τους Αξιωματικούς, τη διευθέτηση των Συμβουλίων Κρίσεων, την αναδιάρθρωση των προϋποθέσεων παραμονής καθώς και την εισαγωγή νέων βαθμών για τους μόνιμους Υπαξιωματικούς και τους Επαγγελματίες Οπλίτες. Ειδικότερα, προτείνει:
1. Δημιουργία οργανικών θέσεων με βάση τον κλάδο και τον βαθμό.
2. Αναδιαμόρφωση των προϋποθέσεων για προαγωγές και παραμονή.
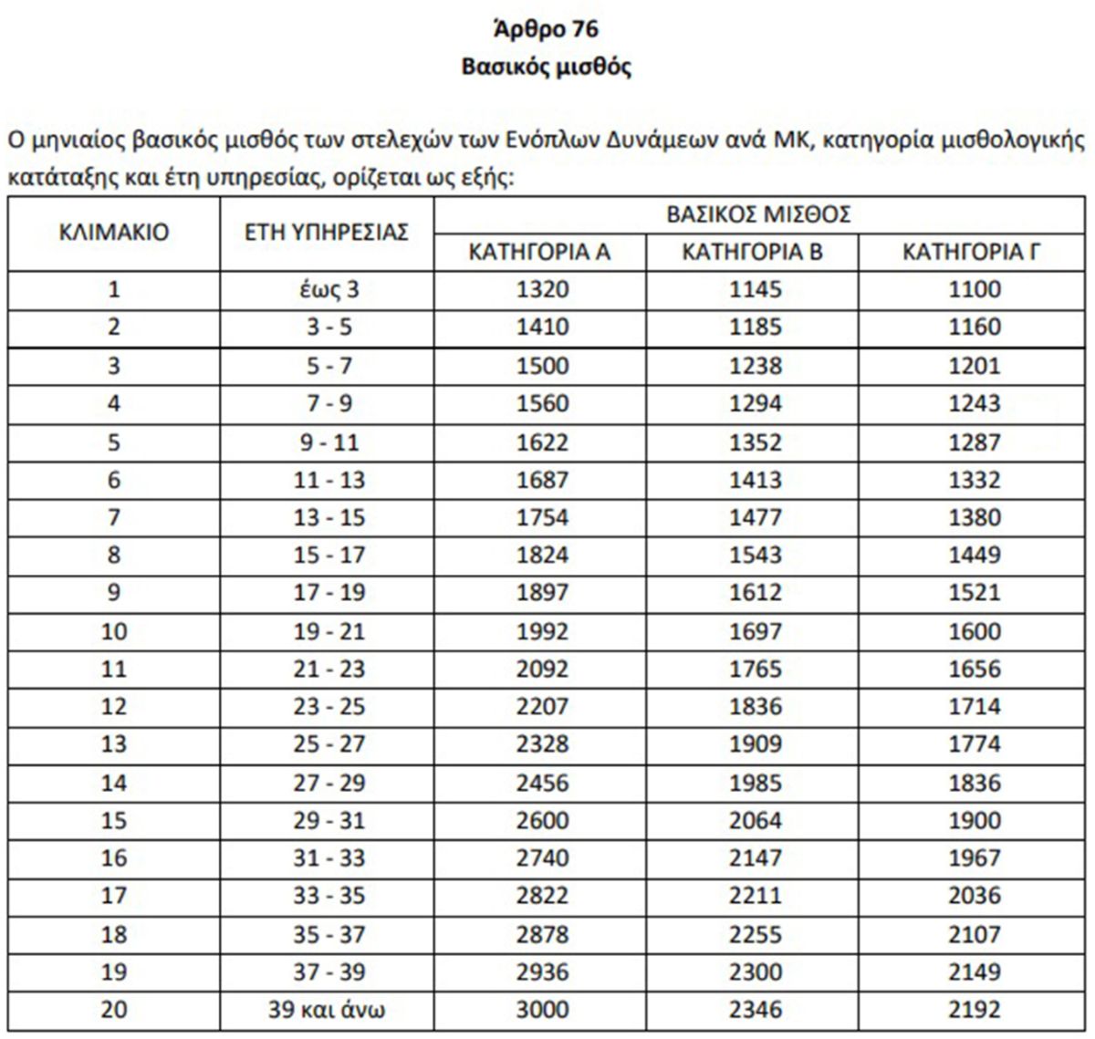
3. Νέα μισθολογικά κλιμάκια συνδεδεμένα με τα έτη υπηρεσίας.
4. Σύσταση της Διακλαδικής Διοίκησης Ακαδημαϊκής Εκπαίδευσης (ΔΙΔΑΕ).
5. Ρυθμίσεις για την υποχρέωση στράτευσης και την εκπαίδευση των οπλιτών.
Μισθολογικές ρυθμίσεις
Αναφορικά με τις μισθολογικές εξελίξεις, το νομοσχέδιο καθορίζει ότι για την προαγωγή σε ανώτερο μισθολογικό κλιμάκιο απαιτείται τριετής υπηρεσία στο κατώτερο κλιμάκιο και διετής για κάθε επόμενο. Ο μηνιαίος μισθός των στρατιωτικών υπαλλήλων θα προσδιορίζεται βάσει της μισθολογικής τους κατηγορίας και των ετών υπηρεσίας.

Αλλαγές στο Βαθμολόγιο
Μία από τις πιο σημαντικές αλλαγές αφορά την αναθεώρηση του Βαθμολογίου, όπου οι μόνιμοι υπαξιωματικοί θα «παγώσουν» τις προαγωγές τους μέχρι τον βαθμό του Ανθυπασπιστή. Αυτό έχει προκαλέσει ανησυχία, καθώς δεν υπάρχει μεταβατική διάταξη για τα στελέχη που είχαν αναμένεται να ολοκληρώσουν τη σταδιοδρομία τους με ανώτερο βαθμό.
Στρατολογία και εκπαίδευση
Το νομοσχέδιο εισάγει νέες ρυθμίσεις σχετικά με τη στρατολογία, επιτρέποντας εθελοντική στράτευση και για γυναίκες, ενώ επαναστατώντας τη στρατιωτική εκπαίδευση με την ενσωμάτωσή νέων τεχνολογιών. Η βασική εκπαίδευση θα διαρκεί 10 εβδομάδες, ακολουθούμενη από 4 εβδομάδες ειδικής εκπαίδευσης και 12 εβδομάδες εκπαίδευσης σε μονάδες ετοιμότητας, πριν από την ένταξη στην εφεδρεία.
Αυτές οι ρυθμίσεις ενδέχεται να έχουν σημαντικές επιπτώσεις στις στρατιωτικές δομές και την εξέλιξη των στελεχών των Ενόπλων Δυνάμεων.
Δείτε ΕΔΩ αναλυτικά το νομοσχέδιο.
Δείτε ΕΔΩ την ανάλυση των συνεπειών της ρύθμισης.



